Exploratory Data Analysis and Prediction: Productivity of Garment Industry Employees

This is a rather long post because it is originally a Jupyter notebook file, and so I included all my thought process, as well as code, when doing Exploratory Data Analysis (EDA) and building simple prediction models.
With this post, I would like to showcase the typical routes I take when doing EDA, and building simple prediction models.
Idea behind the project
I was browsing Kaggle and came across a competition to predict productivity level of garment industry employees. Given the labour intensive nature of the industry with many manual processes, I thought it would be interesting to give it a go.
The original dataset used can be found here.
Housekeeping
Programming Language: R 3.8.11 in Jupyter Notebook
R Libraries used:
- ggplot2
- tidyverse
- reshape2
- glmnet
- caret
- car
- grid
- gridExtra
- corrplot
1. Introduction
This notebook contains the results of data analysis performed on a dataset containing important attributes of the garment manufacturing process and the productivity of the employees which had been collected manually and also been validated by the industry experts in Bangladesh. The aim of the data analysis is to build several models to predict employee productivity given some other factors in a factory. The models should be lightweight and lean, in order to maintain real-time capability, and satisfy the requirements of best-cost hardware of traction drives in an automative environment.
The first section of this notebook will be about the exploratory data analysis (EDA) performed to explore and understand the data, taking a look at each attribute (variable) in the data to understand the nature and distribution of the attribute values. It also examines the correlation between the variables through visualisations. A brief summary is provided at the end to highlight the key findings of the EDA. This includes: section 2 Exploratory Data Analysis.
The second section shows the development of the linear regression models. It details the process used to build the models and shows the models at key points in the development process. Each model will be briefly analysed and its RMSE and summary statistics on the training set will be provided. This includes: section 3 Methodology, and 4 Model Development.
Then, in the final section, we will deploy all the models on the testing set and create a comparison table of RMSEs and R-Squared for both training and testing set to compare the performance of the models and pick the best one.
The final section provides the details of the model to ensure reproducibility. The final model is then presented along with an analysis and interpretation of its summary statistics. This includes: section 5: Results and discussion.
Two datasets were provided for the assignment - train.csv and test.csv. The exploratory data analysis and the model building were done using the train.csv dataset; the test.csv dataset was used to test the generated models.
Let’s now load the required libraries used in the notebook.
|
|
2. Exploratory Data Analysis
Splitting training and testing sets
|
|
- 957
- 15
- 240
- 15
Quick overview of the train dataset
|
|
The garment productivity dataset has 957 records, each with 15 attributes. The structure is:
Classes 'tbl_df', 'tbl' and 'data.frame': 957 obs. of 15 variables:
$ date : Date, format: "2015-02-28" "2015-02-10" ...
$ quarter : chr "Quarter4" "Quarter2" "Quarter3" "Quarter4" ...
$ department : chr "sweing" "sweing" "finishing" "finishing" ...
$ day : chr "Saturday" "Tuesday" "Sunday" "Saturday" ...
$ team : num 10 7 11 9 8 3 7 1 4 4 ...
$ targeted_productivity: num 0.7 0.5 0.6 0.6 0.8 0.5 0.35 0.8 0.8 0.8 ...
$ smv : num 21.82 30.1 2.9 3.94 2.9 ...
$ wip : num 1448 1025 1688 1448 970 ...
$ over_time : num 6120 6960 1200 1440 4800 ...
$ incentive : num 40 23 0 0 0 30 0 0 88 60 ...
$ idle_time : num 0 0 0 0 0 0 0 0 0 0 ...
$ idle_men : num 0 0 0 0 0 0 0 0 0 0 ...
$ no_of_style_change : num 1 1 0 0 0 0 1 0 0 0 ...
$ no_of_workers : num 51 58 10 8 8 56.5 58 10 57.5 56.5 ...
$ actual_productivity : num 0.7 0.501 0.715 0.261 0.398 ...
The first few and last few records in the dataset are:
| date | quarter | department | day | team | targeted_productivity | smv | wip | over_time | incentive | idle_time | idle_men | no_of_style_change | no_of_workers | actual_productivity |
|---|---|---|---|---|---|---|---|---|---|---|---|---|---|---|
| 2015-02-28 | Quarter4 | sweing | Saturday | 10 | 0.7 | 21.82 | 1448 | 6120 | 40 | 0 | 0 | 1 | 51.0 | 0.7002366 |
| 2015-02-10 | Quarter2 | sweing | Tuesday | 7 | 0.5 | 30.10 | 1025 | 6960 | 23 | 0 | 0 | 1 | 58.0 | 0.5008017 |
| 2015-02-15 | Quarter3 | finishing | Sunday | 11 | 0.6 | 2.90 | 1688 | 1200 | 0 | 0 | 0 | 0 | 10.0 | 0.7153333 |
| 2015-01-24 | Quarter4 | finishing | Saturday | 9 | 0.6 | 3.94 | 1448 | 1440 | 0 | 0 | 0 | 0 | 8.0 | 0.2611742 |
| 2015-01-22 | Quarter4 | finishing | Thursday | 8 | 0.8 | 2.90 | 970 | 4800 | 0 | 0 | 0 | 0 | 8.0 | 0.3977431 |
| 2015-01-15 | Quarter3 | sweing | Thursday | 3 | 0.5 | 22.52 | 1102 | 10170 | 30 | 0 | 0 | 0 | 56.5 | 0.6606833 |
| date | quarter | department | day | team | targeted_productivity | smv | wip | over_time | incentive | idle_time | idle_men | no_of_style_change | no_of_workers | actual_productivity |
|---|---|---|---|---|---|---|---|---|---|---|---|---|---|---|
| 2015-02-01 | Quarter1 | sweing | Sunday | 7 | 0.70 | 24.26 | 1400 | 6720 | 0 | 0 | 0 | 0 | 56 | 0.4115536 |
| 2015-03-02 | Quarter1 | sweing | Monday | 1 | 0.65 | 26.66 | 1527 | 6840 | 65 | 0 | 0 | 0 | 57 | 0.8005795 |
| 2015-01-10 | Quarter2 | finishing | Saturday | 9 | 0.80 | 3.94 | 966 | 1440 | 0 | 0 | 0 | 0 | 8 | 0.8581439 |
| 2015-01-06 | Quarter1 | finishing | Tuesday | 3 | 0.75 | 4.15 | 808 | 1800 | 0 | 0 | 0 | 0 | 10 | 0.8991667 |
| 2015-02-23 | Quarter4 | finishing | Monday | 8 | 0.70 | 5.13 | 1583 | 960 | 0 | 0 | 0 | 0 | 8 | 0.9304167 |
| 2015-02-02 | Quarter1 | finishing | Monday | 12 | 0.75 | 4.08 | 1435 | 1080 | 0 | 0 | 0 | 0 | 9 | 0.7404444 |
Basic statistics for each attribute are:
date quarter department day
Min. :2015-01-01 Length:957 Length:957 Length:957
1st Qu.:2015-01-17 Class :character Class :character Class :character
Median :2015-02-03 Mode :character Mode :character Mode :character
Mean :2015-02-03
3rd Qu.:2015-02-23
Max. :2015-03-11
team targeted_productivity smv wip
Min. : 1.000 Min. :0.0700 Min. : 2.90 Min. : 7
1st Qu.: 3.000 1st Qu.:0.7000 1st Qu.: 3.94 1st Qu.: 749
Median : 6.000 Median :0.7500 Median :15.26 Median : 1017
Mean : 6.373 Mean :0.7283 Mean :15.44 Mean : 1093
3rd Qu.: 9.000 3rd Qu.:0.8000 3rd Qu.:25.90 3rd Qu.: 1231
Max. :12.000 Max. :0.8000 Max. :54.56 Max. :23122
over_time incentive idle_time idle_men
Min. : 0 Min. : 0.0 Min. : 0.0000 Min. : 0.0000
1st Qu.: 1440 1st Qu.: 0.0 1st Qu.: 0.0000 1st Qu.: 0.0000
Median : 4080 Median : 23.0 Median : 0.0000 Median : 0.0000
Mean : 4649 Mean : 41.2 Mean : 0.7978 Mean : 0.3312
3rd Qu.: 6960 3rd Qu.: 50.0 3rd Qu.: 0.0000 3rd Qu.: 0.0000
Max. :25920 Max. :3600.0 Max. :300.0000 Max. :45.0000
no_of_style_change no_of_workers actual_productivity
Min. :0.0000 Min. : 2.00 Min. :0.2337
1st Qu.:0.0000 1st Qu.: 9.00 1st Qu.:0.6402
Median :0.0000 Median :34.00 Median :0.7537
Mean :0.1546 Mean :35.14 Mean :0.7293
3rd Qu.:0.0000 3rd Qu.:57.00 3rd Qu.:0.8501
Max. :2.0000 Max. :89.00 Max. :1.1204
The numbers of unique values for each attribute are as follow:
- date
- 59
- quarter
- 5
- department
- 2
- day
- 6
- team
- 12
- targeted_productivity
- 9
- smv
- 68
- wip
- 471
- over_time
- 134
- incentive
- 48
- idle_time
- 10
- idle_men
- 9
- no_of_style_change
- 3
- no_of_workers
- 58
- actual_productivity
- 714
|
|
1197
9
0.07 0.35 0.4 0.5 0.6 0.65 0.7 0.75 0.8
1 27 2 49 57 63 242 216 540
Summary of attributes
The following 2 tables contain information on each attribute for the train dataset.
The first table is obtained from the original UCI Repository, which states the description for each attribute.
The second table is obtained through individual examination of each attribute, which identifies which attributes are numerical and whether they are continuous or discrete, and which are categorical and whether they are nominal or ordinal. It includes some initial observations about the ranges and common values of the attributes.
Table 1: Attribute description
| ID | Attribute | Description |
|---|---|---|
| 1 | date | Date in MM-DD-YYYY |
| 2 | quarter | A portion of the month. A month was divided into four quarters |
| 3 | department | Associated department with the instance |
| 4 | day | Day of the Week |
| 5 | team | Associated team number with the instance |
| 6 | targeted_productivity | Targeted productivity set by the Authority for each team for each day. |
| 7 | smv | Standard Minute Value, it is the allocated time for a task |
| 8 | wip | Work in progress. Includes the number of unfinished items for products |
| 9 | over_time | Represents the amount of overtime by each team in minutes |
| 10 | incentive | Represents the amount of financial incentive (in BDT) that enables or motivates a particular course of action |
| 11 | idle_time | The amount of time when the production was interrupted due to several reasons |
| 12 | idle_men | The number of workers who were idle due to production interruption |
| 13 | no_of_style_change | Number of changes in the style of a particular product |
| 14 | no_of_workers | Number of workers in each team |
| 15 | actual_productivity | The actual % of productivity that was delivered by the workers. It ranges from 0-1 |
Table 2: Attribute type
| ID | Attribute | Type | Sub-type | Comments |
|---|---|---|---|---|
| 1 | date | Categorical | Ordinal | Contains duplicates. Range from 2015-01-01 to 2015-03-11, which is 59 days. Can drop |
| 2 | quarter | Categorical | Ordinal | Has 5 values. Quarter 1-5 |
| 3 | department | Categorical | Nominal | Has 2 values. ‘sweing’ and ‘finishing’ |
| 4 | day | Categorical | Ordinal | Has 6 values. Friday does not appear. Dayoff? |
| 5 | team | Categorical | Nominal | Has 12 values, for 12 teams |
| 6 | targeted_productivity | Numerical | Continuous | Has 9 unique values - range is 0.07 - 0.8. Very likely to have outliers |
| 7 | smv | Numerical | Continuous | Values range from 2.9 to 54.56 |
| 8 | wip | Numerical | Discrete | Values range from 7 to 23122. Mistake? Extreme outliers |
| 9 | over_time | Numerical | Discrete | Values range from 0 to 25920. Extreme outliers. The majority are 0, 960, 1440 |
| 10 | incentive | Numerical | Continuous | Values range from 0 to 3600. Extreme outliers. The majority is 0 |
| 11 | idle_time | Numerical | Continuous | Values range from 0 to 300. Extreme outliers. The majority is 0 |
| 12 | idle_men | Numerical | Discrete | Values range from 0 to 45. The majority is 0 |
| 13 | no_of_style_change | Numerical | Discrete | Only has 3 values - 0,1,2. The majority is 0 |
| 14 | no_of_workers | Numerical | Discrete | Ranges from 2 to 89. The majority is 8. There are some numbers that include decimals i.e. 51.5. Mistake? |
| 15 | actual_productivity | Numerical | Continuous | Values range from 0.2337 to 1.1204 |
The ‘date’ attribute is unlikely to be helpful for our analysis, so we will remove it. Also, we need to change the 3 attributes with character type into factor and then numeric for EDA.
Investigate distribution for each variable
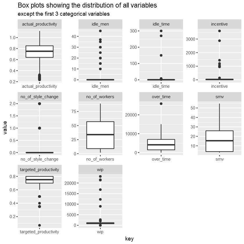
View the variable distributions using boxplots
|
|

View the variable distributions using histograms and bar charts.
|
|

The distribution graphs above show that:
- actual_productivity has multiple lower outliers, potentially leading to a negative skew as we can observe the longer tail to the left.
- Most of our attributes are heavily skewed, both positive and negative, except for perhaps actual_productivity, and team, which appears to be approximately normal and uniform respectively.
- There is 0 idle time and idle workers for the majority of the time.
- There is 0 incentive offered for the majority of the time.
- Very few to none style changes, except for a few products.
- 12 teams working with quite uniform distribution of activities. Team 1 and 2 have the highest number of activities.
- Number of workers in a team can vary greatly, with most having around 8 or 58 workers.
- Targeted productivity is set at 0.8 for the majority of the time.
- The allocated time for a task is usually within 20 minutes, most being around 3 minutes.
|
|

The bar graphs above show that:
- Production activities are spread quite evenly throughout weekdays and weekends, except for Friday, which seems to be a day off.
- There are close to 200 more sewing tasks than finishing in total.
- More than half production activities happen during the first two quarters of the month.
Correlations
Correlation table and graphs
We can obtain the correlation table below by excluding the first 5 categorical variables: date, day, quarter, department and team.
|
|
| targeted_productivity | smv | wip | over_time | incentive | idle_time | idle_men | no_of_style_change | no_of_workers | actual_productivity | |
|---|---|---|---|---|---|---|---|---|---|---|
| targeted_productivity | 1.00000000 | -0.07144559 | 0.04422815 | -0.08170874 | 0.03008378 | -0.05445067 | -0.03714038 | -0.22411472 | -0.08979954 | 0.43233088 |
| smv | -0.07144559 | 1.00000000 | 0.04596410 | 0.66646288 | 0.01351429 | 0.05217029 | 0.10327150 | 0.29267799 | 0.90685936 | -0.10155147 |
| wip | 0.04422815 | 0.04596410 | 1.00000000 | 0.05920016 | 0.03390728 | -0.02107011 | -0.04142333 | -0.04353742 | 0.08284851 | 0.08858794 |
| over_time | -0.08170874 | 0.66646288 | 0.05920016 | 1.00000000 | -0.02237368 | 0.03087565 | -0.02145995 | 0.04684807 | 0.72603916 | -0.03850287 |
| incentive | 0.03008378 | 0.01351429 | 0.03390728 | -0.02237368 | 1.00000000 | -0.01172284 | -0.01910988 | -0.03115262 | 0.03064095 | 0.08048132 |
| idle_time | -0.05445067 | 0.05217029 | -0.02107011 | 0.03087565 | -0.01172284 | 1.00000000 | 0.64762633 | -0.01342704 | 0.05674108 | -0.08274623 |
| idle_men | -0.03714038 | 0.10327150 | -0.04142333 | -0.02145995 | -0.01910988 | 0.64762633 | 1.00000000 | 0.12920875 | 0.10682784 | -0.15130357 |
| no_of_style_change | -0.22411472 | 0.29267799 | -0.04353742 | 0.04684807 | -0.03115262 | -0.01342704 | 0.12920875 | 1.00000000 | 0.32023164 | -0.20079279 |
| no_of_workers | -0.08979954 | 0.90685936 | 0.08284851 | 0.72603916 | 0.03064095 | 0.05674108 | 0.10682784 | 0.32023164 | 1.00000000 | -0.02474232 |
| actual_productivity | 0.43233088 | -0.10155147 | 0.08858794 | -0.03850287 | 0.08048132 | -0.08274623 | -0.15130357 | -0.20079279 | -0.02474232 | 1.00000000 |
Let’s visualise this table with the following graph:
|
|

Let’s try another graph to see the data points:
|
|
|
|

The correlation graphs and table above show that:
- Most correlations between attributes are weak and insignificant. There is only a few moderate and strong positive correlations.
- smv and no_of_workers have a strong positive correlation. This makes sense because we would expect the longer the task, the more workers are allocated to it.
- overtime and no_of_workers have a moderate positive correlation, as well as overtime and smv.
- idle_time and idle_men also have a moderate positive correlation, most likely because they are mostly 0s.
Investigate the connections of the 3 categorical variables day, quarter, department to others, especially actual_productivity
|
|
Using quarter, department, day as id variables

Key point:
- We can notice there is virtually no differences between the days of the week for all variables
|
|
Using quarter, department, day as id variables

Key points:
- Quarter 5 appears to have higher actual_productivity than all the other quarters.
- Quarter 1 has the most outliers for wip and idle_time, which makes sense as it is the beginning of working period.
- Quarter 2 has the most outliers for incentive.
- Quarter 3 and 4 seems to be the low point for actual_productivity. Also they have the most outliers in idle_men.
|
|
Using quarter, department, day as id variables

Key points:
- The smv is generally longer for the sewing department, compared to the finishing department.
- The sewing department has more outliers when it comes to wip, idle_time, and idle_men.
- The sewing department works over_time for much longer on average.
- The sewing department has more no_of_workers than the finishing department, with an average of around 60 workers, compared to 12 for finishing.
- On average, the 2 departments seem to be equal in terms of actual_productivity, but the sewing department has more consistent average actual_productivity with many more unproductive outliers.
Investigate if date attribute has an effect on actual_productivity
Let’s plot actual_productivity for all the dates in our training dataset, which is over a month and 5 quarters.
|
|

This again confirms our findings above that Quarter 5 is much more productive on average than other quarters. Also Quarter 3 and 4 seems to be where actual_productivity dips the most.
Investigate the relationship between actual_productivity and targeted_productivity
Let’s first plot actual_productivity against targeted_productivity to check for correlations. I also distinguished between the 2 departments.
|
|
`geom_smooth()` using formula 'y ~ x'

There is a bit of a heteroskedastic pattern between these 2 variables.
Targeted_productivity is often set to be at 0.8, which is also the highest value. However, we find that as the targeted_productivity increases greatly, the variance in actual_productivity also seems to increase. This suggests overly ambitious target can backfire.
The sewing department’s actual_productivity seems to be more positively correlated with its targeted_productivity than the finishing department.
Also, we can notice that, for targeted_productivity, the number is usually a well-rounded value compared to the widely varied value of actual_productivity.
Hence, I believe it might be interesting to take the median (to account for outliers) of actual_productivity across the different levels of targeted_variable in order to visualise the relationships better, which is what the graph below is about.
|
|
`geom_smooth()` using formula 'y ~ x'

We can notice a relatively strong correlation between these 2 variables now. It is also interesting that when the median of targeted_productivity is above or equal to 0.5, it seems that there is a perfect positive linear relationship with target_productivity.
It might point to the self-fulfilling prophecy phenomenon.
Let’s check their correlation score in this case.
|
|
| targeted_productivity | median_actual_productivity | |
|---|---|---|
| targeted_productivity | 1.0000000 | 0.7742251 |
| median_actual_productivity | 0.7742251 | 1.0000000 |
Investigate the relationship between actual_productivity and incentive
We would expect incentive to be the most correlated attribute to actual_productivity based on intuition. However, the correlation graphs we made above did not support this claim, with the score being around 0.08, which is very close to no relationship at all.
Let’s dig deeper to see what that is about. I will start with a scatterplot showing the relationship between actual_productivity and incentive.
|
|
`geom_smooth()` using formula 'y ~ x'

We can notice immediately that the relationship is extremely skewed by many 0 values and a number of large outliers, which are all above or equal to 960. I will explore this point later in a bit.
For now, let’s try and remove the 0 values and outliers to see if there is a pattern.
|
|
`geom_smooth()` using formula 'y ~ x'

We can indeed see that there is now a relatively strong positive correlation between actual_productivity and incentive after we remove outliers (above 960 BDT) and zero-value incentives. Let’s check the correlation score.
|
|
| incentive | actual_productivity | |
|---|---|---|
| incentive | 1.0000000 | 0.8147412 |
| actual_productivity | 0.8147412 | 1.0000000 |
Next, each team also received different total amount of incentive. Let’s see if this affects actual_productivity in any way.
I will start with a bar chart showing the total amount of incentive received by each team.
|
|

From the above bar graph, we can clearly see that Team 9 received the most amount of incentive, with most other teams receive half this amount.
We could reasonably expect that this might influence productivity of each team at least a little bit, particularly making Team 9 if not the most productive, at least one of the top performing teams. Let’s see if it is the case.
|
|

As we can see from the two graphs above, Team 9 is not the most productive, nor is it in the top 5 most productive teams on average. The most productive teams are Team 1, 12, and 3 in that order. All of them only received an average amount of incentive around 3500 BDT.
On the other hand, the teams that received the least amount of incentive, which are Team 6, 7, 8, have the lowest actual productivity on average.
It seems that after reaching a certain threshold, the amount of extra incentive stop mattering for actual productivity.
Next, let’s check the distribution of these incentives by different teams to see if we can find a pattern.
|
|

It seems that on average most teams received the same amount of incentive. However, there is a number of extreme outliers that completely skewed the incentive distributions for most teams. The majority of these outliers lies around 960 BDT and above.
This relates back to our scatterplot between incentive and actual_productivity above.
Let’s take a closer look at the records of these outliers.
|
|
| date | quarter | department | day | team | targeted_productivity | smv | wip | over_time | incentive | idle_time | idle_men | no_of_style_change | no_of_workers | actual_productivity |
|---|---|---|---|---|---|---|---|---|---|---|---|---|---|---|
| 2015-03-09 | Quarter2 | finishing | Monday | 9 | 0.75 | 2.90 | 1161 | 0 | 3600 | 0 | 0 | 0 | 15 | 0.8410000 |
| 2015-03-09 | Quarter2 | finishing | Monday | 10 | 0.70 | 2.90 | 1161 | 0 | 960 | 0 | 0 | 0 | 8 | 0.4772917 |
| 2015-03-09 | Quarter2 | finishing | Monday | 2 | 0.70 | 3.90 | 1161 | 0 | 1200 | 0 | 0 | 0 | 10 | 0.6825000 |
| 2015-03-09 | Quarter2 | finishing | Monday | 8 | 0.65 | 3.90 | 1161 | 0 | 960 | 0 | 0 | 0 | 8 | 0.2640625 |
| 2015-03-09 | Quarter2 | finishing | Monday | 5 | 0.60 | 3.94 | 1161 | 0 | 2880 | 0 | 0 | 0 | 12 | 0.8643426 |
| 2015-03-09 | Quarter2 | finishing | Monday | 12 | 0.80 | 4.60 | 1161 | 0 | 1080 | 0 | 0 | 0 | 9 | 0.9029630 |
| 2015-03-09 | Quarter2 | finishing | Monday | 4 | 0.75 | 3.94 | 1161 | 0 | 960 | 0 | 0 | 0 | 8 | 0.7953875 |
| 2015-03-09 | Quarter2 | finishing | Monday | 3 | 0.80 | 4.60 | 1161 | 0 | 1440 | 0 | 0 | 0 | 12 | 0.7954167 |
| 2015-03-09 | Quarter2 | finishing | Monday | 11 | 0.80 | 2.90 | 1161 | 0 | 960 | 0 | 0 | 0 | 8 | 0.9606250 |
We can see that all of these outliers occur on the same day, which is 2015-03-09 in Quarter 2. This might mean a number of things. It could be that this day is especially challenging and important to management so they want to incentivise workers to be more productive, or it is just a set date for this type of incentive to be paid out.
Whatever the reason for this may be, I believe it is safe to assume that this type of incentive does not happen often and its effects on actual_productivity can vary greatly. Thus, these outliers can be safely removed from our data as it will not help us in building a predictive model.
Lastly, I will try to replot incentive using a log scale to see if it has a log-normal distribution, since its distribution is highly skewed.
|
|

It does not seem to have a log-normal distribution, so I believe adding another incentive attribute as a categorical variable where it indicates the amount of incentive is above 0 and below 960 might be a good predictor for our model.
Investigate the relationship between actual_productivity and no_of_workers
Let’s see if the number of workers has an effect on actual_productivity. I will start with a scatterplot between these two variables.
|
|

Again, there is lots of data points and outliers for actual_productivity at several levels of no_of_workers. Next, similar to targeted_productivity, I will attempt to take the median of actual_productivity and plot them across the levels of no_of_workers to see if the pattern is clearer.
|
|

We can notice an interesting pattern where actual_productivity on average rises to a certain number of no_of_workers and then decreases and rises again. Could it be a cubic relationship?
This might be explained according to the Law of Diminishing Marginal Returns. As more workers are added initially, the productivity rate increases, until the number of workers becomes too cumbersome, which leads to a decrease in the rate. Eventually, if we keep increasing the number of workers, at a certain level the productivity rate might rise again as certain tasks are more optimised with a larger number of workers, and so on.
Investigate the relationship between actual_productivity and wip
Let’s start with a scatterplot between these two variables.
|
|

We notice several values for wip that greatly skewed the distribution. Let’s remove these outliers and plot them again.
|
|

The values of actual_productivity seem to be quite consistent across the number of wip, and there is no discernable pattern.
Investigate the relationship between actual_productivity and over_time
Let’s start with a scatterplot between these two variables. I also added a scatterplot with median values of actual_productivity since it seems to be concentrated around a few values of over_time.
|
|


The values of actual_productivity seem to slightly decrease as over_time increases, which makes sense, but the relationship is weak. Overall, the variance of actual_productivity is quite high and there is no other clear pattern.
Investigate the relationship between actual_productivity and smv
Let’s start with a scatterplot between these two variables. I also added a scatterplot with median values of actual_productivity since it seems to be concentrated around a few values of smv.
|
|


It seems for longer standard minute value set for a task, the actual productivity decreases slightly. But overall, the variance of actual_productivity is quite high and there is no clear pattern.
Summary of EDA
After completing EDA on our train dataset, the following main points and relationships were discovered:
- Most correlations between attributes are weak and insignificant. There is only a few moderate and strong positive correlations.
- No differences between the days of the week for all variables.
- Quarter 5 appears to have higher actual_productivity than all the other quarters.
- Quarter 3 and 4 seems to be the low point for actual_productivity. Also they have the most outliers in idle_men.
- On average, the 2 departments seem to be equal in terms of actual_productivity, but the sewing department has more consistent average actual_productivity, with many more unproductive outliers.
- smv and no_of_workers have a strong positive correlation. This makes sense because we would expect the longer the task, the more workers are allocated to it.
- There is a relatively strong positive correlation between median of actual_productivity and targeted_productivity.
- There is strong positive correlation between actual_productivity and incentive after we remove outliers (above 960 BDT) and zero-value incentives.
- Team 9 received the most amount of incentive, with most other teams receive around half this amount.
- Team 9 is not the most productive, nor is it in the top 5 most productive teams on average. The most productive teams are Team 1, 12, and 3 in that order. All of them only received an average amount of incentive around 3500 BDT.
- On the other hand, the teams that received the least amount of incentive, which are Team 6, 7, 8, have the lowest actual productivity on average.
- It seems that after reaching a certain threshold, the amount of extra incentive stop mattering for actual productivity.
- All incentive outliers occur on the same day, which is 2015-03-09 in Quarter 2.
- There is an interesting pattern where actual_productivity on average rises to a certain number of no_of_workers and then decreases and rises again.
- The values of actual_productivity seem to be quite consistent across the number of wip, and there is no discernable pattern.
- The values of actual_productivity seem to slightly decrease as over_time increases, but the relationship is weak.
- The actual productivity decreases slightly as smv increases, but the relationship is weak.
3. Methodology
With EDA done, I will now describe the methodology I used for building models before building them.
Thought process
Simple linear regression model containing all variables
At the start of model building, I started with a simple linear regression that contains all the independent variables. This is to achieve two things:
- To see which variables are significant or not.
- To have sort of a reference model to make improvements upon.
Second model with transformations, incorporating knowledge obtained from EDA
Next, I moved on to build the second model, also using linear regression, but this time transformations of initial variables were added, which hopefully would result in a noticeable improvement. At this stage, I tried to incorporate as much knowledge obtained from the EDA process as much as possible.
Specifically, I did the following things:
- Add a categorical variable called good_incentive, that is 1 when incentive < 960 and not 0. This is to capture the possible positive relationship between actual_productivity and incentive that is not outliers or 0.
- Add a categorical variable called good_team, that is 1 when it is team 1, 2, 3, 4 or 12, because these teams have actual_productivity above the median of all teams. This is to simplify the team categorical variable.
- Add a categorical variable called good_quarter, that is 1 when it is quarter 5, 1, or 2, because these quarters are when actual_productivity is above the median of all quarters. This is to simplify the quarter categorical variable.
- Add no_of_workers^3 because scatterplot shows potential cubic relationship with actual_productivity.
- Add no_of_workers^2 and no_of_workers^5 through trial and error.
- Add interaction term between smv and no_of_workers due to high positive correlation.
- Remove all the other insignificant variables.
There should be significant improvement over the first model.
Third model with Stepwise regression
After obtaining our second model with transformations based on EDA, I decided to try Stepwise regression to see if this automatic feature selection can offer any viable alternatives, compared to the model I built with EDA.
I tried the brute force approach with both AIC and BIC criteria, and the direction is set to both forward and backward, to see if there is a different in model generated. The brute force approach involved passing all the basic transformations as predictors (i.e. interaction terms between all variables, squared variable terms, and log…) The results were:
- AIC resulted in a very complex models with around 50 variables.
- BIC resulted in a little bit less complex model with 21 variables. This model has a bit lower R-squared and RMSE on the training set than the AIC model, but far less complex. Hence, the BIC model is preferrable to AIC.
Fourth model with Lasso regression
Lastly, since our data is riddled with outliers, I wanted to try out Lasso Regression as it is more robust to outliers than other method such as Ridge (Rodenburg, 2019).
Also because Lasso Regression has built-in feature selection where the coeficients can be shrunk to zero, I applied the brute force model similar to Stepwise regression above. We can then see the comparison between Lasso regression and Stepwise regression with this approach.
The results were:
- Lasso regression model with brute force approach is a very large model with 55 variables in total. This is significantly more complex than our model using BIC as a criteria.
- Its RMSE and R-squared on the training set is slightly better than that of the BIC model. Hence, it is safe to say that we can disregard this model due its complexity and mediocre performance.
Bringing it all together
After finishing building our 4 models as described, I trained them all on our testing set and report the RMSE and R-Squared for each in a table for easy comparison.
For the R-Squareds, in our case they are all relatively low (range from around 0.25 to 0.5). However, this is not necessarily bad if the dependent variable is a properly stationarized series (Duke University, n.d.).
Next for RMSEs, we look for consistency between the training and testing set. The most consistent model is our second linear model with transformations informed by our EDA.
The Lasso Regression and Stepwise Regression models all demonstrate overfitting potential with much lower RMSE for training set than testing set and a large number of predictors.
Summary of model choice
Based on all the information above, I think it is preferable to go with our second Linear Model, due to its relative simplicity and consistent performance.
Then, further analysis into our model of choice can be done, such as influence plot and influential outliers test etc.
4. Model Development
Final tweaks to our train dataset before we build our models.
I will drop the date attribute since it is unlikely to be helpful for us. I will also change the categorical variables to factors.
|
|
Classes 'tbl_df', 'tbl' and 'data.frame': 957 obs. of 14 variables:
$ quarter : Factor w/ 5 levels "Quarter1","Quarter2",..: 4 2 3 4 4 3 2 1 5 4 ...
$ department : Factor w/ 2 levels "finishing","sweing": 2 2 1 1 1 2 2 1 2 2 ...
$ day : Factor w/ 6 levels "Monday","Tuesday",..: 5 2 6 5 4 4 1 5 4 2 ...
$ team : num 10 7 11 9 8 3 7 1 4 4 ...
$ targeted_productivity: num 0.7 0.5 0.6 0.6 0.8 0.5 0.35 0.8 0.8 0.8 ...
$ smv : num 21.82 30.1 2.9 3.94 2.9 ...
$ wip : num 1448 1025 1688 1448 970 ...
$ over_time : num 6120 6960 1200 1440 4800 ...
$ incentive : num 40 23 0 0 0 30 0 0 88 60 ...
$ idle_time : num 0 0 0 0 0 0 0 0 0 0 ...
$ idle_men : num 0 0 0 0 0 0 0 0 0 0 ...
$ no_of_style_change : num 1 1 0 0 0 0 1 0 0 0 ...
$ no_of_workers : num 51 58 10 8 8 56.5 58 10 57.5 56.5 ...
$ actual_productivity : num 0.7 0.501 0.715 0.261 0.398 ...
Classes 'tbl_df', 'tbl' and 'data.frame': 240 obs. of 14 variables:
$ quarter : Factor w/ 5 levels "Quarter1","Quarter2",..: 1 1 1 1 1 1 1 1 1 1 ...
$ department : Factor w/ 2 levels "finishing","sweing": 2 2 1 2 1 2 2 1 2 1 ...
$ day : Factor w/ 6 levels "Monday","Tuesday",..: 4 4 4 4 4 5 5 6 6 1 ...
$ team : num 6 7 10 4 11 5 10 3 2 11 ...
$ targeted_productivity: num 0.8 0.8 0.65 0.65 0.7 0.8 0.75 0.75 0.8 0.8 ...
$ smv : num 25.9 25.9 3.94 23.69 4.15 ...
$ wip : num 1170 984 861 861 861 659 610 884 782 666 ...
$ over_time : num 1920 6720 960 7200 1440 7080 6480 1560 6660 2400 ...
$ incentive : num 50 38 0 0 0 50 56 0 50 0 ...
$ idle_time : num 0 0 0 0 0 0 0 0 0 0 ...
$ idle_men : num 0 0 0 0 0 0 0 0 0 0 ...
$ no_of_style_change : num 0 0 0 0 0 0 0 0 0 0 ...
$ no_of_workers : num 56 56 8 60 12 31.5 54 8 55.5 10 ...
$ actual_productivity : num 0.8 0.8 0.706 0.521 0.436 ...
Define some Functions to measure the model accuracy
These functions are used during the model building to evaluate the model accuracy.
Function to Calculate Model Accuracy Statistics
Name: Model.Accuracy
Input parameters:
- predicted - a vector of predictions
- target - a vector containing the target values for the predictions
- df - the degrees of freedom
- p - the number of parameters excluding the coefficient
Return Value:
A list containing:
- rsquared - the R-Squared value calculated from the predicted and target values
- rse - the residual standard error
- f.stat - the F-statistic
Description:
Calculate the TSS and RSS as:
- TSS: $\sum_{i=1}^n (y_i - \bar y)^2$
- RSS: $\sum_{i=1}^n (\hat y_i - y_i)^2$
Calculate the statistics according to the following formulae:
- R-Squared value: $R^2 = 1 - \frac{RSS}{TSS}$
- Residual standard error - $\sqrt{\frac{1}{df}RSS}$
- F-statistics - $\frac{(TSS - RSS)/p}{RSS / df}$
|
|
Function to Calculate RMSE
Name: RMSE
Input parameters:
- predicted - a vector of predictions
- target - a vector containing the target values for the predictions
Return Value:
The RMSE value calculated from the predicted and target values
Description:
Calculate the RMSE value: $RMSE = \sqrt {\sum_{i=1}^n (\hat y_i - y_i)^2 / N}$
|
|
Model 1: Linear model 1 with all variables and no transformations
Let’s try a basic linear regression model with all of our original variables to get a feel for what is there.
|
|
Call:
lm(formula = actual_productivity ~ ., data = train)
Residuals:
Min 1Q Median 3Q Max
-0.56885 -0.06844 0.01807 0.07708 0.53302
Coefficients:
Estimate Std. Error t value Pr(>|t|)
(Intercept) 2.279e-01 4.256e-02 5.354 1.08e-07 ***
quarterQuarter2 8.568e-03 1.292e-02 0.663 0.507346
quarterQuarter3 -1.167e-02 1.499e-02 -0.778 0.436544
quarterQuarter4 -1.357e-02 1.446e-02 -0.938 0.348256
quarterQuarter5 9.153e-02 2.831e-02 3.234 0.001265 **
departmentsweing -4.650e-02 2.983e-02 -1.559 0.119359
dayTuesday 9.323e-03 1.727e-02 0.540 0.589408
dayWednesday 2.896e-03 1.709e-02 0.169 0.865447
dayThursday -2.738e-03 1.752e-02 -0.156 0.875834
daySaturday -8.564e-04 1.769e-02 -0.048 0.961403
daySunday -3.558e-04 1.719e-02 -0.021 0.983486
team -7.364e-03 1.498e-03 -4.917 1.04e-06 ***
targeted_productivity 7.239e-01 4.961e-02 14.593 < 2e-16 ***
smv -7.424e-03 1.056e-03 -7.033 3.90e-12 ***
wip 5.264e-06 3.551e-06 1.483 0.138511
over_time -4.660e-06 2.252e-06 -2.070 0.038761 *
incentive 4.559e-05 2.833e-05 1.609 0.107938
idle_time 3.767e-04 4.669e-04 0.807 0.419945
idle_men -8.208e-03 2.161e-03 -3.797 0.000156 ***
no_of_style_change -4.113e-02 1.311e-02 -3.137 0.001761 **
no_of_workers 5.234e-03 8.217e-04 6.369 2.97e-10 ***
---
Signif. codes: 0 '***' 0.001 '**' 0.01 '*' 0.05 '.' 0.1 ' ' 1
Residual standard error: 0.1493 on 936 degrees of freedom
Multiple R-squared: 0.3024, Adjusted R-squared: 0.2875
F-statistic: 20.29 on 20 and 936 DF, p-value: < 2.2e-16
|
|

The R-squared values seem to be quite bad, being around 0.3. This means the model can only explain about 30% of the variation in our dependent variable.
The Residuals vs Fitted plot shows quite concentrated residuals around a horizontal line without distinct patterns, which means it does not appear to show any non-linear patterns between the predictor variables and the outcome variable.
The Q-Q plot confirms our EDA analysis that our data distribution is left skewed compared to a normal distribution, with heavy tails.
The Scale-Location shows that residuals appear to be randomly spread and quite concentrated, meaning that there is little to no heteroscedasticity.
Lastly, the Residuals vs Leverage shows us that there are no influential cases of outliers for our model.
Let’s calculate the actual accuracy metrics using the functions we defined above:
|
|
Model accuracy:
Degrees of freedom: 936
Model parameters: 20 plus intercept
Residual standard error: 0.149298
Percentage error: 20.47107 %
R-Squared: 0.3024447
F-statistic: 20.29145 ; p-value: 4.553204e-60
RMSE: 0.1476508
This first intial model is quite bad, but it did shows us a few things.
As shown with EDA, the day attribute does not matter at all with no significant p-values. The department attribute is also not significant.
Quarter5 is significant at 1% level of confidence, as well as team, targeted_productivity, and no_of_workers, which matches our finding above.
A few significant variables I find surprising are smv, idle_men, and no_of_style_change. This is mainly because they contain mostly 0 values and only a few outliers, and are not very correlated to actual_productivity even with these removed.
Let’s build a different model with variables that are significant, and try to incorporate the information we gained from EDA by adding some variabels.
Model 2: Linear model 2 with transformations based on EDA
First I will generate some new variables based on the criteria explored in EDA. Then I will leave out the insignificant variables from the first model and tweak a few more.
|
|
|
|
|
|
|
|
Call:
lm(formula = actual_productivity ~ good_incentive + good_team +
good_quarter + targeted_productivity + smv + no_of_workers +
smv * no_of_workers + I(no_of_workers^2) + I(no_of_workers^3) +
I(no_of_workers^5), data = train)
Residuals:
Min 1Q Median 3Q Max
-0.55377 -0.06780 0.00583 0.07997 0.51320
Coefficients:
Estimate Std. Error t value Pr(>|t|)
(Intercept) -1.616e-01 6.820e-02 -2.369 0.018 *
good_incentive 1.363e-01 1.621e-02 8.408 < 2e-16 ***
good_team 6.193e-02 9.480e-03 6.534 1.05e-10 ***
good_quarter 4.045e-02 9.460e-03 4.276 2.10e-05 ***
targeted_productivity 5.927e-01 4.724e-02 12.545 < 2e-16 ***
smv 2.107e-03 6.782e-03 0.311 0.756
no_of_workers 7.022e-02 8.273e-03 8.488 < 2e-16 ***
I(no_of_workers^2) -3.127e-03 3.890e-04 -8.040 2.67e-15 ***
I(no_of_workers^3) 4.195e-05 5.573e-06 7.527 1.20e-13 ***
I(no_of_workers^5) -1.882e-09 2.734e-10 -6.883 1.06e-11 ***
smv:no_of_workers -1.645e-04 1.253e-04 -1.313 0.190
---
Signif. codes: 0 '***' 0.001 '**' 0.01 '*' 0.05 '.' 0.1 ' ' 1
Residual standard error: 0.1408 on 946 degrees of freedom
Multiple R-squared: 0.3728, Adjusted R-squared: 0.3662
F-statistic: 56.23 on 10 and 946 DF, p-value: < 2.2e-16
|
|

|
|
Model accuracy:
Degrees of freedom: 945
Model parameters: 11 plus intercept
Residual standard error: 0.1408161
Percentage error: 19.30808 %
R-Squared: 0.3728219
F-statistic: 56.23436 ; p-value: 6.198772e-89
RMSE: 0.1400045
As we can see from the model accuracy metrics, this model is somewhat of an improvement from the first model, in terms of RMSE and R-squared.
Let’s see next if we can automate some of the features selection using R, specifically using step function and Lasso regression.
|
|
Classes 'tbl_df', 'tbl' and 'data.frame': 957 obs. of 14 variables:
$ quarter : Factor w/ 5 levels "Quarter1","Quarter2",..: 4 2 3 4 4 3 2 1 5 4 ...
$ department : Factor w/ 2 levels "finishing","sweing": 2 2 1 1 1 2 2 1 2 2 ...
$ day : Factor w/ 6 levels "Monday","Tuesday",..: 5 2 6 5 4 4 1 5 4 2 ...
$ team : num 10 7 11 9 8 3 7 1 4 4 ...
$ targeted_productivity: num 0.7 0.5 0.6 0.6 0.8 0.5 0.35 0.8 0.8 0.8 ...
$ smv : num 21.82 30.1 2.9 3.94 2.9 ...
$ wip : num 1448 1025 1688 1448 970 ...
$ over_time : num 6120 6960 1200 1440 4800 ...
$ incentive : num 40 23 0 0 0 30 0 0 88 60 ...
$ idle_time : num 0 0 0 0 0 0 0 0 0 0 ...
$ idle_men : num 0 0 0 0 0 0 0 0 0 0 ...
$ no_of_style_change : num 1 1 0 0 0 0 1 0 0 0 ...
$ no_of_workers : num 51 58 10 8 8 56.5 58 10 57.5 56.5 ...
$ actual_productivity : num 0.7 0.501 0.715 0.261 0.398 ...
Model 3: Stepwise regression
I will start with step function, using a brute force approach. Since we are only dealing with a number of independent variables, I will pass all basic transformations into the model and hope step() can do a good job of sorting out what is important and what is not.
|
|
Call:
lm(formula = actual_productivity ~ . + . * . + log(targeted_productivity) +
log(smv) + log(wip) + log(over_time + 0.01) + log(incentive +
0.01) + log(idle_time + 0.01) + log(idle_men + 0.01) + log(no_of_style_change +
0.01) + log(no_of_workers) + I(targeted_productivity^2) +
I(smv^2) + I(wip^2) + I(over_time^2) + I(incentive^2) + I(idle_time^2) +
I(idle_men^2) + I(no_of_style_change^2) + I(no_of_workers^2),
data = train)
Residuals:
Min 1Q Median 3Q Max
-0.60989 -0.03973 0.00254 0.05295 0.32422
Coefficients: (37 not defined because of singularities)
Estimate Std. Error t value Pr(>|t|)
(Intercept) 3.414e-01 2.594e+00 0.132 0.895329
quarterQuarter2 1.306e-01 1.374e-01 0.951 0.341952
quarterQuarter3 8.512e-02 1.673e-01 0.509 0.610974
quarterQuarter4 4.260e-02 1.519e-01 0.281 0.779163
quarterQuarter5 3.290e-01 3.091e-01 1.064 0.287506
departmentsweing -1.688e+00 5.591e-01 -3.019 0.002618
dayTuesday -1.906e-01 1.557e-01 -1.224 0.221273
dayWednesday -2.273e-01 1.590e-01 -1.429 0.153313
dayThursday 7.956e-03 1.586e-01 0.050 0.959997
daySaturday -2.371e-01 1.723e-01 -1.376 0.169139
daySunday -1.736e-01 1.785e-01 -0.973 0.331070
team -3.529e-02 1.496e-02 -2.358 0.018616
targeted_productivity -1.776e+00 1.386e+00 -1.281 0.200432
smv -2.860e-01 9.553e-02 -2.993 0.002845
wip -2.118e-05 1.151e-04 -0.184 0.854093
over_time -6.067e-05 2.887e-05 -2.101 0.035925
incentive -1.468e-03 8.769e-04 -1.674 0.094540
idle_time 4.197e-02 1.607e-01 0.261 0.794076
idle_men 4.532e-02 3.860e-01 0.117 0.906559
no_of_style_change -3.246e-01 2.300e-01 -1.411 0.158618
no_of_workers 1.891e-02 1.130e-02 1.673 0.094655
log(targeted_productivity) 1.077e-01 2.999e-01 0.359 0.719690
log(smv) 1.281e+00 3.438e-01 3.727 0.000208
log(wip) 7.387e-03 1.812e-02 0.408 0.683691
log(over_time + 0.01) -4.330e-03 5.704e-03 -0.759 0.448020
log(incentive + 0.01) 5.178e-03 4.026e-03 1.286 0.198829
log(idle_time + 0.01) -6.717e-02 1.629e+00 -0.041 0.967123
log(idle_men + 0.01) -1.332e-02 1.581e+00 -0.008 0.993278
log(no_of_style_change + 0.01) -3.649e-03 1.650e-02 -0.221 0.825050
log(no_of_workers) 1.088e-02 6.531e-02 0.167 0.867716
I(targeted_productivity^2) 1.262e+00 7.273e-01 1.735 0.083175
I(smv^2) 7.613e-04 2.570e-04 2.962 0.003151
I(wip^2) 1.514e-09 1.354e-09 1.118 0.263782
I(over_time^2) -4.632e-10 7.175e-10 -0.646 0.518737
I(incentive^2) 2.022e-07 1.133e-07 1.784 0.074769
I(idle_time^2) -1.283e-04 5.109e-04 -0.251 0.801830
I(idle_men^2) -1.547e-03 1.029e-02 -0.150 0.880492
I(no_of_style_change^2) NA NA NA NA
I(no_of_workers^2) -2.028e-05 1.028e-04 -0.197 0.843694
quarterQuarter2:departmentsweing -2.061e-02 7.588e-02 -0.272 0.785980
quarterQuarter3:departmentsweing 1.426e-01 9.109e-02 1.565 0.117897
quarterQuarter4:departmentsweing -6.089e-02 8.958e-02 -0.680 0.496900
quarterQuarter5:departmentsweing -3.286e-01 2.318e-01 -1.418 0.156734
quarterQuarter2:dayTuesday -4.410e-02 4.213e-02 -1.047 0.295628
quarterQuarter3:dayTuesday -8.512e-02 4.898e-02 -1.738 0.082652
quarterQuarter4:dayTuesday -6.023e-02 4.895e-02 -1.230 0.218935
quarterQuarter5:dayTuesday NA NA NA NA
quarterQuarter2:dayWednesday -2.963e-02 4.295e-02 -0.690 0.490530
quarterQuarter3:dayWednesday -8.080e-02 4.823e-02 -1.675 0.094296
quarterQuarter4:dayWednesday -6.705e-02 4.902e-02 -1.368 0.171743
quarterQuarter5:dayWednesday NA NA NA NA
quarterQuarter2:dayThursday -5.507e-02 4.485e-02 -1.228 0.219932
quarterQuarter3:dayThursday -5.287e-02 4.961e-02 -1.066 0.286807
quarterQuarter4:dayThursday -8.155e-02 5.109e-02 -1.596 0.110860
quarterQuarter5:dayThursday -1.600e-02 6.053e-02 -0.264 0.791658
quarterQuarter2:daySaturday -7.813e-02 4.278e-02 -1.826 0.068196
quarterQuarter3:daySaturday -7.736e-02 5.343e-02 -1.448 0.148054
quarterQuarter4:daySaturday -9.540e-02 4.750e-02 -2.009 0.044924
quarterQuarter5:daySaturday NA NA NA NA
quarterQuarter2:daySunday -1.407e-03 3.972e-02 -0.035 0.971753
quarterQuarter3:daySunday -3.007e-02 4.628e-02 -0.650 0.516088
quarterQuarter4:daySunday -7.200e-03 4.517e-02 -0.159 0.873390
quarterQuarter5:daySunday NA NA NA NA
quarterQuarter2:team -6.207e-04 3.580e-03 -0.173 0.862403
quarterQuarter3:team -6.404e-03 4.335e-03 -1.477 0.139997
quarterQuarter4:team 5.744e-04 4.054e-03 0.142 0.887359
quarterQuarter5:team 1.145e-02 8.011e-03 1.429 0.153303
quarterQuarter2:targeted_productivity -2.461e-02 1.661e-01 -0.148 0.882299
quarterQuarter3:targeted_productivity 1.033e-01 2.039e-01 0.506 0.612663
quarterQuarter4:targeted_productivity -1.188e-01 1.862e-01 -0.638 0.523719
quarterQuarter5:targeted_productivity -5.397e-01 3.598e-01 -1.500 0.134066
quarterQuarter2:smv -4.000e-03 3.526e-03 -1.134 0.256956
quarterQuarter3:smv -4.374e-03 3.960e-03 -1.105 0.269689
quarterQuarter4:smv 3.162e-04 3.906e-03 0.081 0.935504
quarterQuarter5:smv 1.187e-02 9.562e-03 1.241 0.214914
quarterQuarter2:wip -8.300e-05 3.841e-05 -2.161 0.031009
quarterQuarter3:wip -9.647e-05 4.094e-05 -2.357 0.018684
quarterQuarter4:wip -2.417e-05 3.621e-05 -0.667 0.504674
quarterQuarter5:wip 1.457e-04 1.572e-04 0.927 0.354046
quarterQuarter2:over_time 1.488e-05 6.920e-06 2.151 0.031801
quarterQuarter3:over_time 5.240e-06 8.950e-06 0.585 0.558400
quarterQuarter4:over_time 5.673e-06 8.479e-06 0.669 0.503676
quarterQuarter5:over_time 1.102e-04 8.328e-05 1.324 0.185986
quarterQuarter2:incentive 3.018e-04 7.185e-04 0.420 0.674608
quarterQuarter3:incentive -5.349e-04 8.528e-04 -0.627 0.530721
quarterQuarter4:incentive 2.622e-04 9.109e-04 0.288 0.773550
quarterQuarter5:incentive 2.376e-03 1.238e-03 1.919 0.055395
quarterQuarter2:idle_time NA NA NA NA
quarterQuarter3:idle_time -1.076e-01 4.230e-01 -0.254 0.799215
quarterQuarter4:idle_time 6.824e-01 2.904e+00 0.235 0.814265
quarterQuarter5:idle_time NA NA NA NA
quarterQuarter2:idle_men NA NA NA NA
quarterQuarter3:idle_men 1.901e-02 5.139e-02 0.370 0.711511
quarterQuarter4:idle_men -1.306e-01 5.095e-01 -0.256 0.797845
quarterQuarter5:idle_men NA NA NA NA
quarterQuarter2:no_of_style_change 1.248e-01 7.157e-02 1.743 0.081673
quarterQuarter3:no_of_style_change 4.204e-02 8.029e-02 0.524 0.600758
quarterQuarter4:no_of_style_change 5.211e-02 7.837e-02 0.665 0.506277
quarterQuarter5:no_of_style_change NA NA NA NA
quarterQuarter2:no_of_workers -1.216e-04 2.306e-03 -0.053 0.957961
quarterQuarter3:no_of_workers -1.064e-04 2.912e-03 -0.037 0.970865
quarterQuarter4:no_of_workers 2.391e-03 2.660e-03 0.899 0.369085
quarterQuarter5:no_of_workers -1.876e-02 1.310e-02 -1.433 0.152284
departmentsweing:dayTuesday 5.081e-02 1.043e-01 0.487 0.626293
departmentsweing:dayWednesday -2.802e-02 1.070e-01 -0.262 0.793431
departmentsweing:dayThursday 4.484e-02 1.046e-01 0.429 0.668175
departmentsweing:daySaturday 6.734e-02 1.095e-01 0.615 0.538781
departmentsweing:daySunday 5.477e-02 1.040e-01 0.527 0.598477
departmentsweing:team -1.514e-02 9.227e-03 -1.641 0.101152
departmentsweing:targeted_productivity 7.389e-01 3.994e-01 1.850 0.064692
departmentsweing:smv 1.773e-01 6.556e-02 2.704 0.006998
departmentsweing:wip -2.422e-05 4.472e-05 -0.542 0.588313
departmentsweing:over_time 4.111e-06 1.540e-05 0.267 0.789627
departmentsweing:incentive 4.078e-03 2.003e-03 2.036 0.042100
departmentsweing:idle_time NA NA NA NA
departmentsweing:idle_men NA NA NA NA
departmentsweing:no_of_style_change NA NA NA NA
departmentsweing:no_of_workers -2.125e-02 7.619e-03 -2.789 0.005417
dayTuesday:team 5.332e-03 4.710e-03 1.132 0.257932
dayWednesday:team 9.747e-03 4.654e-03 2.094 0.036539
dayThursday:team 6.690e-03 4.904e-03 1.364 0.172940
daySaturday:team 2.633e-03 4.804e-03 0.548 0.583779
daySunday:team 2.930e-03 4.657e-03 0.629 0.529443
dayTuesday:targeted_productivity 1.328e-01 1.796e-01 0.740 0.459729
dayWednesday:targeted_productivity 1.374e-01 1.851e-01 0.742 0.458261
dayThursday:targeted_productivity -1.865e-01 1.820e-01 -1.025 0.305857
daySaturday:targeted_productivity 1.601e-01 2.028e-01 0.789 0.430067
daySunday:targeted_productivity 1.023e-01 2.127e-01 0.481 0.630801
dayTuesday:smv -1.185e-03 3.647e-03 -0.325 0.745284
dayWednesday:smv -7.020e-03 3.520e-03 -1.994 0.046449
dayThursday:smv -2.334e-03 4.135e-03 -0.564 0.572673
daySaturday:smv -2.528e-03 3.949e-03 -0.640 0.522375
daySunday:smv 3.900e-04 3.457e-03 0.113 0.910230
dayTuesday:wip 9.196e-05 4.319e-05 2.129 0.033568
dayWednesday:wip 6.311e-05 4.153e-05 1.519 0.129054
dayThursday:wip 8.637e-05 5.006e-05 1.725 0.084866
daySaturday:wip 9.883e-05 4.922e-05 2.008 0.044988
daySunday:wip 6.089e-05 4.005e-05 1.520 0.128831
dayTuesday:over_time 2.129e-06 7.823e-06 0.272 0.785554
dayWednesday:over_time 5.272e-06 7.827e-06 0.674 0.500794
dayThursday:over_time 5.630e-06 8.886e-06 0.634 0.526530
daySaturday:over_time 1.710e-05 9.634e-06 1.775 0.076257
daySunday:over_time 3.607e-06 8.372e-06 0.431 0.666714
dayTuesday:incentive -8.128e-04 9.839e-04 -0.826 0.409014
dayWednesday:incentive -8.344e-04 9.732e-04 -0.857 0.391499
dayThursday:incentive -1.947e-04 9.867e-04 -0.197 0.843646
daySaturday:incentive -1.196e-03 1.048e-03 -1.141 0.254118
daySunday:incentive -6.920e-04 9.810e-04 -0.705 0.480748
dayTuesday:idle_time 4.377e-02 1.550e-01 0.282 0.777703
dayWednesday:idle_time -2.062e-02 9.781e-02 -0.211 0.833061
dayThursday:idle_time 7.063e-03 4.717e-01 0.015 0.988057
daySaturday:idle_time NA NA NA NA
daySunday:idle_time NA NA NA NA
dayTuesday:idle_men NA NA NA NA
dayWednesday:idle_men NA NA NA NA
dayThursday:idle_men NA NA NA NA
daySaturday:idle_men NA NA NA NA
daySunday:idle_men NA NA NA NA
dayTuesday:no_of_style_change 1.701e-02 4.241e-02 0.401 0.688379
dayWednesday:no_of_style_change 4.662e-02 4.191e-02 1.112 0.266316
dayThursday:no_of_style_change 2.405e-02 4.667e-02 0.515 0.606475
daySaturday:no_of_style_change 8.210e-02 4.963e-02 1.654 0.098484
daySunday:no_of_style_change 2.943e-02 4.615e-02 0.638 0.523844
dayTuesday:no_of_workers 3.568e-05 2.822e-03 0.013 0.989917
dayWednesday:no_of_workers 4.209e-03 2.791e-03 1.508 0.132012
dayThursday:no_of_workers 1.344e-04 3.151e-03 0.043 0.965991
daySaturday:no_of_workers -6.929e-04 3.239e-03 -0.214 0.830667
daySunday:no_of_workers -7.635e-04 2.785e-03 -0.274 0.784016
team:targeted_productivity 3.183e-02 1.845e-02 1.726 0.084807
team:smv -4.084e-04 3.884e-04 -1.051 0.293415
team:wip -5.536e-07 1.106e-06 -0.501 0.616768
team:over_time 1.019e-06 7.337e-07 1.388 0.165456
team:incentive 5.713e-06 1.383e-05 0.413 0.679750
team:idle_time NA NA NA NA
team:idle_men NA NA NA NA
team:no_of_style_change 6.323e-03 5.004e-03 1.264 0.206689
team:no_of_workers 4.134e-04 2.871e-04 1.440 0.150364
targeted_productivity:smv -1.072e-02 1.285e-02 -0.835 0.404216
targeted_productivity:wip 5.583e-05 1.485e-04 0.376 0.707099
targeted_productivity:over_time 3.432e-05 2.694e-05 1.274 0.203107
targeted_productivity:incentive 8.910e-04 6.867e-04 1.297 0.194889
targeted_productivity:idle_time NA NA NA NA
targeted_productivity:idle_men NA NA NA NA
targeted_productivity:no_of_style_change 3.460e-01 1.553e-01 2.227 0.026201
targeted_productivity:no_of_workers -5.972e-03 1.043e-02 -0.573 0.567129
smv:wip 3.050e-06 2.765e-06 1.103 0.270288
smv:over_time -4.967e-07 5.305e-07 -0.936 0.349455
smv:incentive 9.525e-05 4.885e-05 1.950 0.051535
smv:idle_time NA NA NA NA
smv:idle_men NA NA NA NA
smv:no_of_style_change 1.275e-03 3.184e-03 0.400 0.688934
smv:no_of_workers 4.057e-04 2.000e-04 2.029 0.042823
wip:over_time 3.919e-09 7.067e-09 0.555 0.579321
wip:incentive 1.255e-07 2.113e-07 0.594 0.552824
wip:idle_time NA NA NA NA
wip:idle_men NA NA NA NA
wip:no_of_style_change -8.311e-06 4.075e-05 -0.204 0.838439
wip:no_of_workers -2.401e-06 1.886e-06 -1.273 0.203531
over_time:incentive -9.073e-09 1.276e-07 -0.071 0.943326
over_time:idle_time NA NA NA NA
over_time:idle_men NA NA NA NA
over_time:no_of_style_change -5.125e-06 8.833e-06 -0.580 0.561965
over_time:no_of_workers 4.423e-07 4.462e-07 0.991 0.321811
incentive:idle_time NA NA NA NA
incentive:idle_men NA NA NA NA
incentive:no_of_style_change -2.088e-03 9.361e-04 -2.230 0.026019
incentive:no_of_workers -4.690e-05 4.190e-05 -1.119 0.263394
idle_time:idle_men NA NA NA NA
idle_time:no_of_style_change NA NA NA NA
idle_time:no_of_workers NA NA NA NA
idle_men:no_of_style_change NA NA NA NA
idle_men:no_of_workers NA NA NA NA
no_of_style_change:no_of_workers 7.849e-04 3.369e-03 0.233 0.815840
(Intercept)
quarterQuarter2
quarterQuarter3
quarterQuarter4
quarterQuarter5
departmentsweing **
dayTuesday
dayWednesday
dayThursday
daySaturday
daySunday
team *
targeted_productivity
smv **
wip
over_time *
incentive .
idle_time
idle_men
no_of_style_change
no_of_workers .
log(targeted_productivity)
log(smv) ***
log(wip)
log(over_time + 0.01)
log(incentive + 0.01)
log(idle_time + 0.01)
log(idle_men + 0.01)
log(no_of_style_change + 0.01)
log(no_of_workers)
I(targeted_productivity^2) .
I(smv^2) **
I(wip^2)
I(over_time^2)
I(incentive^2) .
I(idle_time^2)
I(idle_men^2)
I(no_of_style_change^2)
I(no_of_workers^2)
quarterQuarter2:departmentsweing
quarterQuarter3:departmentsweing
quarterQuarter4:departmentsweing
quarterQuarter5:departmentsweing
quarterQuarter2:dayTuesday
quarterQuarter3:dayTuesday .
quarterQuarter4:dayTuesday
quarterQuarter5:dayTuesday
quarterQuarter2:dayWednesday
quarterQuarter3:dayWednesday .
quarterQuarter4:dayWednesday
quarterQuarter5:dayWednesday
quarterQuarter2:dayThursday
quarterQuarter3:dayThursday
quarterQuarter4:dayThursday
quarterQuarter5:dayThursday
quarterQuarter2:daySaturday .
quarterQuarter3:daySaturday
quarterQuarter4:daySaturday *
quarterQuarter5:daySaturday
quarterQuarter2:daySunday
quarterQuarter3:daySunday
quarterQuarter4:daySunday
quarterQuarter5:daySunday
quarterQuarter2:team
quarterQuarter3:team
quarterQuarter4:team
quarterQuarter5:team
quarterQuarter2:targeted_productivity
quarterQuarter3:targeted_productivity
quarterQuarter4:targeted_productivity
quarterQuarter5:targeted_productivity
quarterQuarter2:smv
quarterQuarter3:smv
quarterQuarter4:smv
quarterQuarter5:smv
quarterQuarter2:wip *
quarterQuarter3:wip *
quarterQuarter4:wip
quarterQuarter5:wip
quarterQuarter2:over_time *
quarterQuarter3:over_time
quarterQuarter4:over_time
quarterQuarter5:over_time
quarterQuarter2:incentive
quarterQuarter3:incentive
quarterQuarter4:incentive
quarterQuarter5:incentive .
quarterQuarter2:idle_time
quarterQuarter3:idle_time
quarterQuarter4:idle_time
quarterQuarter5:idle_time
quarterQuarter2:idle_men
quarterQuarter3:idle_men
quarterQuarter4:idle_men
quarterQuarter5:idle_men
quarterQuarter2:no_of_style_change .
quarterQuarter3:no_of_style_change
quarterQuarter4:no_of_style_change
quarterQuarter5:no_of_style_change
quarterQuarter2:no_of_workers
quarterQuarter3:no_of_workers
quarterQuarter4:no_of_workers
quarterQuarter5:no_of_workers
departmentsweing:dayTuesday
departmentsweing:dayWednesday
departmentsweing:dayThursday
departmentsweing:daySaturday
departmentsweing:daySunday
departmentsweing:team
departmentsweing:targeted_productivity .
departmentsweing:smv **
departmentsweing:wip
departmentsweing:over_time
departmentsweing:incentive *
departmentsweing:idle_time
departmentsweing:idle_men
departmentsweing:no_of_style_change
departmentsweing:no_of_workers **
dayTuesday:team
dayWednesday:team *
dayThursday:team
daySaturday:team
daySunday:team
dayTuesday:targeted_productivity
dayWednesday:targeted_productivity
dayThursday:targeted_productivity
daySaturday:targeted_productivity
daySunday:targeted_productivity
dayTuesday:smv
dayWednesday:smv *
dayThursday:smv
daySaturday:smv
daySunday:smv
dayTuesday:wip *
dayWednesday:wip
dayThursday:wip .
daySaturday:wip *
daySunday:wip
dayTuesday:over_time
dayWednesday:over_time
dayThursday:over_time
daySaturday:over_time .
daySunday:over_time
dayTuesday:incentive
dayWednesday:incentive
dayThursday:incentive
daySaturday:incentive
daySunday:incentive
dayTuesday:idle_time
dayWednesday:idle_time
dayThursday:idle_time
daySaturday:idle_time
daySunday:idle_time
dayTuesday:idle_men
dayWednesday:idle_men
dayThursday:idle_men
daySaturday:idle_men
daySunday:idle_men
dayTuesday:no_of_style_change
dayWednesday:no_of_style_change
dayThursday:no_of_style_change
daySaturday:no_of_style_change .
daySunday:no_of_style_change
dayTuesday:no_of_workers
dayWednesday:no_of_workers
dayThursday:no_of_workers
daySaturday:no_of_workers
daySunday:no_of_workers
team:targeted_productivity .
team:smv
team:wip
team:over_time
team:incentive
team:idle_time
team:idle_men
team:no_of_style_change
team:no_of_workers
targeted_productivity:smv
targeted_productivity:wip
targeted_productivity:over_time
targeted_productivity:incentive
targeted_productivity:idle_time
targeted_productivity:idle_men
targeted_productivity:no_of_style_change *
targeted_productivity:no_of_workers
smv:wip
smv:over_time
smv:incentive .
smv:idle_time
smv:idle_men
smv:no_of_style_change
smv:no_of_workers *
wip:over_time
wip:incentive
wip:idle_time
wip:idle_men
wip:no_of_style_change
wip:no_of_workers
over_time:incentive
over_time:idle_time
over_time:idle_men
over_time:no_of_style_change
over_time:no_of_workers
incentive:idle_time
incentive:idle_men
incentive:no_of_style_change *
incentive:no_of_workers
idle_time:idle_men
idle_time:no_of_style_change
idle_time:no_of_workers
idle_men:no_of_style_change
idle_men:no_of_workers
no_of_style_change:no_of_workers
---
Signif. codes: 0 '***' 0.001 '**' 0.01 '*' 0.05 '.' 0.1 ' ' 1
Residual standard error: 0.1252 on 781 degrees of freedom
Multiple R-squared: 0.591, Adjusted R-squared: 0.4993
F-statistic: 6.447 on 175 and 781 DF, p-value: < 2.2e-16
I will now use step function to perform features selection, starting with the BIC criteria and then AIC.
By specifying k = log(nrow(train)), we can use the BIC criteria instead of the AIC. The direction = “both” option will tell R to try a combination of forwards and backwards selection.
|
|
Call:
lm(formula = actual_productivity ~ quarter + department + targeted_productivity +
smv + over_time + incentive + idle_men + no_of_workers +
log(smv) + I(targeted_productivity^2) + quarter:department +
department:targeted_productivity + department:over_time +
department:incentive + department:no_of_workers, data = train)
Residuals:
Min 1Q Median 3Q Max
-0.63392 -0.03617 0.00623 0.05451 0.40143
Coefficients:
Estimate Std. Error t value Pr(>|t|)
(Intercept) 4.761e-01 1.188e-01 4.007 6.64e-05
quarterQuarter2 1.955e-02 1.696e-02 1.153 0.249219
quarterQuarter3 -3.417e-02 1.974e-02 -1.731 0.083779
quarterQuarter4 -6.174e-02 1.845e-02 -3.347 0.000850
quarterQuarter5 1.597e-01 3.364e-02 4.748 2.38e-06
departmentsweing -5.898e-01 8.700e-02 -6.779 2.14e-11
targeted_productivity -9.833e-01 3.262e-01 -3.014 0.002645
smv -1.479e-02 1.957e-03 -7.556 9.90e-14
over_time -2.347e-05 4.686e-06 -5.009 6.53e-07
incentive -1.732e-05 2.426e-05 -0.714 0.475470
idle_men -4.621e-03 1.384e-03 -3.339 0.000874
no_of_workers 2.069e-02 2.113e-03 9.789 < 2e-16
log(smv) 2.752e-01 4.031e-02 6.828 1.55e-11
I(targeted_productivity^2) 9.400e-01 2.522e-01 3.728 0.000205
quarterQuarter2:departmentsweing -2.315e-02 2.192e-02 -1.056 0.291119
quarterQuarter3:departmentsweing 4.177e-02 2.552e-02 1.637 0.102068
quarterQuarter4:departmentsweing 5.946e-02 2.386e-02 2.492 0.012869
quarterQuarter5:departmentsweing -1.798e-01 4.620e-02 -3.893 0.000106
departmentsweing:targeted_productivity 5.159e-01 9.298e-02 5.548 3.77e-08
departmentsweing:over_time 1.955e-05 5.084e-06 3.844 0.000129
departmentsweing:incentive 2.896e-03 2.468e-04 11.737 < 2e-16
departmentsweing:no_of_workers -1.947e-02 2.218e-03 -8.780 < 2e-16
(Intercept) ***
quarterQuarter2
quarterQuarter3 .
quarterQuarter4 ***
quarterQuarter5 ***
departmentsweing ***
targeted_productivity **
smv ***
over_time ***
incentive
idle_men ***
no_of_workers ***
log(smv) ***
I(targeted_productivity^2) ***
quarterQuarter2:departmentsweing
quarterQuarter3:departmentsweing
quarterQuarter4:departmentsweing *
quarterQuarter5:departmentsweing ***
departmentsweing:targeted_productivity ***
departmentsweing:over_time ***
departmentsweing:incentive ***
departmentsweing:no_of_workers ***
---
Signif. codes: 0 '***' 0.001 '**' 0.01 '*' 0.05 '.' 0.1 ' ' 1
Residual standard error: 0.1252 on 935 degrees of freedom
Multiple R-squared: 0.5102, Adjusted R-squared: 0.4992
F-statistic: 46.37 on 21 and 935 DF, p-value: < 2.2e-16
Now we try the AIC criteria.
|
|
Call:
lm(formula = actual_productivity ~ quarter + department + team +
targeted_productivity + smv + wip + over_time + incentive +
idle_men + no_of_style_change + no_of_workers + log(smv) +
log(wip) + log(incentive + 0.01) + log(idle_men + 0.01) +
I(targeted_productivity^2) + I(smv^2) + I(incentive^2) +
I(idle_men^2) + quarter:smv + quarter:wip + quarter:over_time +
department:team + department:targeted_productivity + department:smv +
department:incentive + department:no_of_workers + team:over_time +
team:no_of_style_change + team:no_of_workers + targeted_productivity:smv +
targeted_productivity:incentive + smv:incentive + smv:no_of_workers +
wip:over_time + wip:no_of_workers + over_time:no_of_workers +
incentive:no_of_style_change + incentive:no_of_workers, data = train)
Residuals:
Min 1Q Median 3Q Max
-0.61788 -0.03943 0.00369 0.05919 0.37455
Coefficients:
Estimate Std. Error t value Pr(>|t|)
(Intercept) 6.230e-01 2.303e-01 2.705 0.006963
quarterQuarter2 6.665e-02 3.103e-02 2.148 0.031986
quarterQuarter3 3.746e-02 4.419e-02 0.848 0.396798
quarterQuarter4 -1.019e-01 3.392e-02 -3.003 0.002749
quarterQuarter5 3.879e-02 1.083e-01 0.358 0.720240
departmentsweing -1.333e+00 4.160e-01 -3.203 0.001408
team -7.799e-03 2.624e-03 -2.973 0.003031
targeted_productivity -1.212e+00 3.411e-01 -3.553 0.000400
smv -2.079e-01 7.650e-02 -2.718 0.006697
wip 1.362e-05 2.055e-05 0.663 0.507650
over_time -4.113e-05 8.663e-06 -4.748 2.39e-06
incentive -7.197e-04 3.596e-04 -2.001 0.045666
idle_men -6.119e-02 2.314e-02 -2.644 0.008331
no_of_style_change 1.169e-02 3.144e-02 0.372 0.710145
no_of_workers 1.656e-02 2.404e-03 6.888 1.06e-11
log(smv) 9.955e-01 2.754e-01 3.614 0.000318
log(wip) 2.591e-02 1.053e-02 2.462 0.014021
log(incentive + 0.01) 6.445e-03 3.341e-03 1.929 0.054017
log(idle_men + 0.01) 7.961e-02 3.949e-02 2.016 0.044106
I(targeted_productivity^2) 1.167e+00 2.644e-01 4.412 1.15e-05
I(smv^2) 5.087e-04 2.135e-04 2.383 0.017367
I(incentive^2) 1.812e-07 7.928e-08 2.286 0.022508
I(idle_men^2) 1.053e-03 3.909e-04 2.695 0.007173
quarterQuarter2:smv -2.572e-03 1.475e-03 -1.743 0.081596
quarterQuarter3:smv 2.065e-04 1.772e-03 0.117 0.907248
quarterQuarter4:smv 2.340e-03 1.575e-03 1.485 0.137794
quarterQuarter5:smv 4.209e-03 5.093e-03 0.826 0.408746
quarterQuarter2:wip -7.030e-05 2.971e-05 -2.366 0.018195
quarterQuarter3:wip -7.352e-05 3.008e-05 -2.444 0.014703
quarterQuarter4:wip 1.230e-05 2.576e-05 0.477 0.633173
quarterQuarter5:wip 1.322e-04 1.033e-04 1.279 0.201052
quarterQuarter2:over_time 9.336e-06 4.898e-06 1.906 0.056949
quarterQuarter3:over_time 5.709e-06 5.550e-06 1.029 0.303911
quarterQuarter4:over_time 4.457e-06 5.252e-06 0.849 0.396303
quarterQuarter5:over_time -4.809e-05 2.155e-05 -2.232 0.025874
departmentsweing:team -1.715e-02 8.172e-03 -2.099 0.036095
departmentsweing:targeted_productivity 8.544e-01 1.939e-01 4.405 1.18e-05
departmentsweing:smv 1.205e-01 5.216e-02 2.310 0.021094
departmentsweing:incentive 3.489e-03 1.361e-03 2.564 0.010514
departmentsweing:no_of_workers -2.215e-02 3.647e-03 -6.073 1.84e-09
team:over_time 8.998e-07 5.435e-07 1.656 0.098147
team:no_of_style_change 4.699e-03 3.285e-03 1.430 0.152984
team:no_of_workers 2.805e-04 2.002e-04 1.401 0.161552
targeted_productivity:smv -1.466e-02 8.504e-03 -1.724 0.084966
targeted_productivity:incentive 8.155e-04 4.766e-04 1.711 0.087376
smv:incentive 6.347e-05 4.014e-05 1.581 0.114195
smv:no_of_workers 4.148e-04 1.615e-04 2.568 0.010394
wip:over_time 7.905e-09 4.086e-09 1.934 0.053371
wip:no_of_workers -1.265e-06 6.145e-07 -2.058 0.039879
over_time:no_of_workers 2.994e-07 1.350e-07 2.218 0.026787
incentive:no_of_style_change -9.931e-04 5.959e-04 -1.666 0.095971
incentive:no_of_workers -4.815e-05 3.005e-05 -1.603 0.109391
(Intercept) **
quarterQuarter2 *
quarterQuarter3
quarterQuarter4 **
quarterQuarter5
departmentsweing **
team **
targeted_productivity ***
smv **
wip
over_time ***
incentive *
idle_men **
no_of_style_change
no_of_workers ***
log(smv) ***
log(wip) *
log(incentive + 0.01) .
log(idle_men + 0.01) *
I(targeted_productivity^2) ***
I(smv^2) *
I(incentive^2) *
I(idle_men^2) **
quarterQuarter2:smv .
quarterQuarter3:smv
quarterQuarter4:smv
quarterQuarter5:smv
quarterQuarter2:wip *
quarterQuarter3:wip *
quarterQuarter4:wip
quarterQuarter5:wip
quarterQuarter2:over_time .
quarterQuarter3:over_time
quarterQuarter4:over_time
quarterQuarter5:over_time *
departmentsweing:team *
departmentsweing:targeted_productivity ***
departmentsweing:smv *
departmentsweing:incentive *
departmentsweing:no_of_workers ***
team:over_time .
team:no_of_style_change
team:no_of_workers
targeted_productivity:smv .
targeted_productivity:incentive .
smv:incentive
smv:no_of_workers *
wip:over_time .
wip:no_of_workers *
over_time:no_of_workers *
incentive:no_of_style_change .
incentive:no_of_workers
---
Signif. codes: 0 '***' 0.001 '**' 0.01 '*' 0.05 '.' 0.1 ' ' 1
Residual standard error: 0.1227 on 905 degrees of freedom
Multiple R-squared: 0.5445, Adjusted R-squared: 0.5188
F-statistic: 21.21 on 51 and 905 DF, p-value: < 2.2e-16
The AIC criteria model yields a slightly higher R-squared, but the BIC criteria model is much simpler. Hence, I will explore the BIC model from here.
|
|

|
|
Model accuracy of backfit:
Degrees of freedom: 935
Model parameters: 21 plus intercept
Residual standard error: 0.1251765
Percentage error: 17.16364 %
R-Squared: 0.5101624
F-statistic: 46.37124 ; p-value: 4.879907e-129
RMSE: 0.1237293
It seems we got a quite noticeable increase in R-squared using the stepwise regression with BIC compared to the first 2 models. Our RMSE also improves, but whether these improvements are simply due to overfitting we can’t be sure until we test it on our testing dataset.
Next we come to our Lasso regression. using the same brute force approach. In this way, we can compare it with our stepwise regression.
Model 4: Lasso regression
We first need to create a model matrix using the dummyVars function from the caret package. The predict function is then used to create numeric model matrices for training and test.
(Code inspired by an article writtern by Deepika Singh (2019) on pluralsight.com).
|
|
[1] 957 270
[1] 240 270
|
|
The next step is to find the optimal lambda value, by implementing the code below to find the best cross-validated lambda.
|
|
0.00199526231496888
We can then train our final Lasso regression model using the optimal lambda.
|
|
|
|
| name | coefficient |
|---|---|
| (Intercept) | 2.868860e-01 |
| over_time | -1.407300e-06 |
| log(team) | -1.257325e-02 |
| log(wip) | 1.198079e-02 |
| I(targeted_productivity^2) | 2.785709e-01 |
| I(smv^2) | -5.445470e-05 |
| I(over_time^2) | -1.435899e-10 |
| quarterQuarter2:departmentfinishing | 2.079728e-02 |
| quarterQuarter3:departmentfinishing | -9.049354e-03 |
| quarterQuarter4:departmentfinishing | -4.567480e-02 |
| quarterQuarter5:departmentfinishing | 1.504109e-01 |
| quarterQuarter3:departmentsweing | 2.908346e-03 |
| quarterQuarter5:departmentsweing | -1.814669e-02 |
| quarterQuarter1:dayMonday | -6.218259e-04 |
| quarterQuarter3:dayMonday | 1.952829e-03 |
| quarterQuarter4:dayMonday | 7.424978e-03 |
| quarterQuarter3:dayTuesday | -4.100141e-03 |
| quarterQuarter2:dayWednesday | 7.061277e-03 |
| quarterQuarter4:dayWednesday | -6.459491e-03 |
| quarterQuarter1:dayThursday | 2.081965e-02 |
| quarterQuarter3:dayThursday | 2.324878e-02 |
| quarterQuarter4:dayThursday | -2.574333e-02 |
| quarterQuarter5:dayThursday | -1.744914e-02 |
| quarterQuarter1:daySaturday | 2.570991e-03 |
| quarterQuarter2:daySaturday | -9.362130e-03 |
| quarterQuarter4:daySaturday | -2.247711e-02 |
| quarterQuarter3:team | -1.130799e-03 |
| quarterQuarter5:team | 2.548928e-03 |
| quarterQuarter3:wip | -6.259030e-06 |
| quarterQuarter4:idle_time | -3.136193e-02 |
| quarterQuarter1:no_of_style_change | -2.964139e-02 |
| departmentfinishing:dayMonday | 7.075863e-03 |
| departmentfinishing:dayThursday | -2.938065e-03 |
| departmentfinishing:team | -1.187349e-03 |
| departmentsweing:targeted_productivity | 1.321328e-01 |
| departmentfinishing:smv | 2.730181e-02 |
| departmentfinishing:over_time | -1.003696e-05 |
| departmentsweing:incentive | 2.873826e-03 |
| departmentfinishing:no_of_workers | 1.553586e-02 |
| dayMonday:team | -1.159163e-03 |
| dayWednesday:team | 1.684257e-04 |
| daySunday:team | -1.694266e-04 |
| dayMonday:targeted_productivity | 6.134080e-03 |
| dayThursday:targeted_productivity | -1.261045e-02 |
| dayWednesday:smv | -2.505062e-04 |
| dayMonday:wip | -1.587032e-06 |
| dayTuesday:wip | 6.652671e-07 |
| dayTuesday:over_time | -1.002034e-07 |
| dayTuesday:idle_time | -5.983147e-03 |
| dayWednesday:idle_men | -4.743654e-03 |
| daySunday:idle_men | -2.627898e-03 |
| dayWednesday:no_of_style_change | 8.021185e-03 |
| targeted_productivity:no_of_style_change | 1.719814e-03 |
| targeted_productivity:no_of_workers | 1.382017e-03 |
| smv:over_time | -1.699031e-09 |
| wip:idle_men | -2.878491e-06 |
| over_time:incentive | 2.026976e-08 |
This resulted in a quite large model with 55 variables in total. This is significantly more complex than our model using BIC as a criteria.
Let’s check the model accuracy metrics.
|
|
Model accuracy of Lasso:
Degrees of freedom: 901
Model parameters: 55 plus intercept
Residual standard error: 0.1276014
Percentage error: 17.49614 %
R-Squared: 0.509509
F-statistic: 17.017
RMSE: 0.1238118
It is quite interesting to see that even though this Lasso model uses many more variables than our BIC model, its R-squared and F-statistic are still slightly below the BIC model, at least for the training dataset.
This suggests that the BIC model is the better one.
5. Results and discussion
Let’s test and compare all the models we have built thus far on the testing set. I will write another function that is quite similar to the Model.Accuracy and RMSE functions above to put everything into a neat table.
|
|
| Model | RMSE_test | R_square_test | RMSE_train | R_square_train |
|---|---|---|---|---|
| Linear Model 1 | 0.1431625 | 0.2247345 | 0.1476508 | 0.3024447 |
| Linear Model 2 | 0.1404324 | 0.2540210 | 0.1400045 | 0.3728219 |
| BIC Stepwise Model | 0.1374985 | 0.2848652 | 0.1237293 | 0.5101624 |
| Lasso Model | 0.1337447 | 0.3233793 | 0.1238118 | 0.5095090 |
Summary of model choice
From the comparison between our 4 models, we can tell that the BIC Stepwise Model is the best if we go solely by RMSE and R-squared. However, its R-squared for the traning set is much higher than the testing set, which suggests it might be overfitting. Furthermore, there is also the concern of complexity with 21 variables.
The most consistent model is Linear Model 2, where we transformed a few variables according to our EDA. Its RMSE is about the same for both the testing set and training set. This model is relatively simple, compared to the BIC Stepwise Model.
Therefore, I believe in the end we should favor Linear Model 2 over the BIC Stepwise Model, simply due to the fact the performance of the 2 models on the testing set is not that far off from one another, and that Linear Model 2 is much simpler and easy to implement. Linear Model 2 also has quite consistent RMSE for both the traning and testing set, which suggests that it does not overfit.
Hence our model of choice is below:
|
|
| Estimate | Std. Error | t value | Pr(>|t|) | |
|---|---|---|---|---|
| (Intercept) | -1.615576e-01 | 6.820024e-02 | -2.3688710 | 1.804251e-02 |
| good_incentive | 1.362920e-01 | 1.620976e-02 | 8.4080184 | 1.521287e-16 |
| good_team | 6.193486e-02 | 9.479558e-03 | 6.5335179 | 1.047988e-10 |
| good_quarter | 4.045000e-02 | 9.460305e-03 | 4.2757602 | 2.098043e-05 |
| targeted_productivity | 5.926710e-01 | 4.724174e-02 | 12.5454939 | 1.658912e-33 |
| smv | 2.107342e-03 | 6.782437e-03 | 0.3107058 | 7.560928e-01 |
| no_of_workers | 7.021756e-02 | 8.272553e-03 | 8.4880158 | 8.046002e-17 |
| I(no_of_workers^2) | -3.127325e-03 | 3.889656e-04 | -8.0401077 | 2.667761e-15 |
| I(no_of_workers^3) | 4.195135e-05 | 5.573110e-06 | 7.5274583 | 1.204326e-13 |
| I(no_of_workers^5) | -1.881858e-09 | 2.734006e-10 | -6.8831535 | 1.064906e-11 |
| smv:no_of_workers | -1.645268e-04 | 1.253084e-04 | -1.3129749 | 1.895098e-01 |
Model analysis summary
Let’s summarise our description and analysis of the model we just picked.
|
|
Call:
lm(formula = actual_productivity ~ good_incentive + good_team +
good_quarter + targeted_productivity + smv + no_of_workers +
smv * no_of_workers + I(no_of_workers^2) + I(no_of_workers^3) +
I(no_of_workers^5), data = train)
Residuals:
Min 1Q Median 3Q Max
-0.55377 -0.06780 0.00583 0.07997 0.51320
Coefficients:
Estimate Std. Error t value Pr(>|t|)
(Intercept) -1.616e-01 6.820e-02 -2.369 0.018 *
good_incentive 1.363e-01 1.621e-02 8.408 < 2e-16 ***
good_team 6.193e-02 9.480e-03 6.534 1.05e-10 ***
good_quarter 4.045e-02 9.460e-03 4.276 2.10e-05 ***
targeted_productivity 5.927e-01 4.724e-02 12.545 < 2e-16 ***
smv 2.107e-03 6.782e-03 0.311 0.756
no_of_workers 7.022e-02 8.273e-03 8.488 < 2e-16 ***
I(no_of_workers^2) -3.127e-03 3.890e-04 -8.040 2.67e-15 ***
I(no_of_workers^3) 4.195e-05 5.573e-06 7.527 1.20e-13 ***
I(no_of_workers^5) -1.882e-09 2.734e-10 -6.883 1.06e-11 ***
smv:no_of_workers -1.645e-04 1.253e-04 -1.313 0.190
---
Signif. codes: 0 '***' 0.001 '**' 0.01 '*' 0.05 '.' 0.1 ' ' 1
Residual standard error: 0.1408 on 946 degrees of freedom
Multiple R-squared: 0.3728, Adjusted R-squared: 0.3662
F-statistic: 56.23 on 10 and 946 DF, p-value: < 2.2e-16
|
|

The residual plots:
- Residual vs Fitted plot shows the residuals shows quite concentrated residuals around a horizontal line without distinct patterns, which means that the model is meeting the assumption of homoscedasticity - the error terms are constant along the regression line.
- The Q-Q plot confirms that our data distribution is left skewed compared to a normal distribution, with heavy tails, but it is approximately normal.
- Scale-Location - The chart shows the variance of the residuals is reasonably consistent.
- Residuals vs Leverage - The chart shows there is one possibly influential outlier, that is very close to the Cook’s line.
|
|
Model accuracy:
Degrees of freedom: 945
Model parameters: 11 plus intercept
Residual standard error: 0.1408161
Percentage error: 19.30808 %
R-Squared: 0.3728219
F-statistic: 56.23436 ; p-value: 6.198772e-89
RMSE: 0.1400045
Residuals: These seems to be centred around zero, with a small difference in the minimum and maximum distance. This tells us that there is an even distribution of the residuals.
Residual Standard Error: The residual standard error, or the estimated standard deviation of the residuals is 0.1392, which is around 18% of the median actual productivity, which is 0.7733.
$R^2$: This indicates the model only explains around 38% of the variation of our dependent variable, actual_productivity, in our training set. For our testing set, R-squared is 0.2631. After converting the regression results to the house price, the $R^2$ value increases and shows the model explains 26.31% of the variation in the house price.
It is worth noting that a small value of R-squared does not necessarily mean that it is a bad model. In fact, “if the dependent variable is a properly stationarized series (e.g., differences or percentage differences rather than levels), then an R-squared of 25% may be quite good.” (Duke University, n.d.).
F-statistic: The F-statistic calculated using the house prices is 52.67, with a very small p-value, meaning the null hypothesis (the model is not useful) can be rejected. There are 10 variables in the model, leaving 946 degrees of freedom from the sample size of 957.
Coefficients: All the numerical variable coefficients are significant because of small p-values, except for the interaction term between smv and no_of_workers.
I choose to leave this interaction term in mainly because of the strong positive correlation I found in EDA, and because the p-value is not too large, around 0.1.
Check for Influential Outliers
I will use the code from the tutorial to check for influential outlier points.
|
|
No Studentized residuals with Bonferroni p < 0.05
Largest |rstudent|:
rstudent unadjusted p-value Bonferroni p
169 -3.975064 7.5722e-05 0.072466
The outlier test has not reported any outliers. Let’s generate an influence plot to see if there are any influential data points.
|
|
| StudRes | Hat | CookD | |
|---|---|---|---|
| 169 | -3.9750637 | 0.005934751 | 0.008443855 |
| 461 | -3.8637500 | 0.015411160 | 0.020934277 |
| 615 | 3.7656327 | 0.050254853 | 0.067273680 |
| 872 | -0.6553112 | 0.128890210 | 0.005779784 |
| 906 | 0.2149649 | 0.988381529 | 0.357730566 |

The influence plot has reported a number of influential points. The most noticeable one is 906, with a very large Cook’s distance. However, it is not classified as an outlier with our test from before.
This is no doubt the most influential point for our model.
The other 4 points (169, 461, 615, 627) all have quite large studentised residual, meaning that the model has produced a poor prediction for these sample.
Summary of key factors that have strong affect on the actual productivity
After doing thorough EDA and building several models, including some overfitted ones, I believe I have identified several important factors that have a strong effect on actual productivity.
Based on EDA, it appears that targerted_productivity can have a strong positive impact on actual_productivity, some sort of a self-fulfilling prophecy effect.
quarter is another factor that can influence actual productivity, with Quarter 5, 1, and 2 being the most productive respectively.
team can also affect actual productivity, with team 1, 12, and 3 being the most productive respectively.
no_of_workers can also play a role in influencing actual_productivity, even though its effect is more nuanced and not necessarily linear, as demonstrated through EDA and model development.
incentive is also another important factor that can be a meaningful predictor of actual_productivity, however only after we remove some of the outliers and zero values, which makes sense since zero incentive should not have an effect on actual_productivity.
I don’t consider smv to be a key factor but I still included it in the main model because it is highly correlated with no_of_workers. This relationship can be captured with an interaction term.
6. Conclusion
Summaries of each section
Detailed summaries of each section are provided at the end of that respective section.
What I’ve learned
Through the process of EDA, I believe many interesting insights have been gained on this particular garment factory operation, even though this dataset is quite limited. I also learned that by tweaking the way we look at a variable, perhaps looking at it alongside several other variables, new useful patterns can emerge.
Furthermore, I learned that building models is very much an art as well as a science. If you don’t have a good sense for what’s there, no matter how solid your statistics background is, it is very hard to get close to the truth. I don’t think I got close to the truth here, but I hope this is a good enough first attempt so that I can build on it further in the future.
Future work
These models can definitely be refined further, maybe more data will benefit them as well. Other more advanced machine learning models such as Random Forest, or Support Vector Machines can also be implemented with potentially much better results.
7. References
Charlse (2011, Nov 11). Simultaneously merge multiple data.frames in a list. [Response to] Retrieved from https://stackoverflow.com/questions/8091303/simultaneously-merge-multiple-data-frames-in-a-list
dickoa (2013, Jun 19). How to split data into training/testing sets using sample function?. [Response to] Retrieved from https://stackoverflow.com/questions/17200114/how-to-split-data-into-training-testing-sets-using-sample-function
Duke University (n.d). What’s a good value for R-squared?. [Response to] Retrieved from https://people.duke.edu/~rnau/rsquared.htm#punchline
Frans Rodenburg (2019, Apr 23). Why is lasso more robust to outliers compared to ridge?. [Response to] Retrieved from https://stats.stackexchange.com/questions/404495/why-is-lasso-more-robust-to-outliers-compared-to-ridge
Mehrad Mahmoudian (2015, Jan 15). Extracting coefficient variable names from glmnet into a data.frame. [Response to] Retrieved from https://stackoverflow.com/questions/27801130/extracting-coefficient-variable-names-from-glmnet-into-a-data-frame
Singh, D. (2019, Nov 12). Linear, Lasso, and Ridge Regression with R. Retrieved from https://www.pluralsight.com/guides/linear-lasso-and-ridge-regression-with-r
December 2021 - Melbourne, Victoria.
Thanks for reading! Check out my other projects and blog posts as well if you would like.